上一期,我们介绍了黑体辐射和能量量子化,聊天语宙 | 关于量子力学建立与发展的过程的启迪(一)本期,我们则介绍关于氢原子光谱与量子论的故事。
01
氢原子光谱与Bohr的量子论
1911年9月,年轻的N.Bohr赴英国剑桥大学的Cavendish实验室希望与Thompson在原子结构上做一些工作,但是由于种种原因,Thompson那时并没有太多空余时间做这方面的工作。而在一次Rutherford关于原子结构的报告会上,Bohr结识了Rutherford,并且表示对Rutherford的工作十分感兴趣,于是在1912年4月份,Bohr便离开Cavendish实验室,去往了Rutherford的实验室工作。
Rutherford给了Bohr一个题目,希望他能够解释原子的稳定性问题。因为按照经典电磁理论,Rutherford的原子模型有着一个致命的缺陷:电子围绕原子核做椭圆运动,因此会向外辐射电磁波,因此原子将会不停地向外以电磁波的形式辐射能量,这就会导致原子必然不能维持一个稳定的结构,这无疑是十分荒谬的,因此当务之急就是如何才能解释在Rutherford的原子结构模型中,原子是如何稳定存在的。
而仅仅经过了4个月,Bohr就提出了他的一套新的理论模型,但是Rutherford却十分不满意,其原因是在Bohr这套模型中,Bohr并没有“解释”氢原子稳定性的原因,反而将氢原子的稳定性作为一个假设出现在他所建立的模型的最初的假设当中,于是Rutherford并没有很痛快地在Bohr的文章签字发表,而是委婉的劝说Bohr延期一年,再仔细慎重地思考一番,希望他能够将他的理论的假设更加“精简”,以至于使得氢原子的稳定性能够合理的被解释,而不是作为一条假设出现。
然而Bohr当时已经在丹麦的老家订婚了,婚期将至,Bohr委婉的拒绝了Rutherford的提议,匆忙赶回老家完婚。而现在我们以历史回顾的眼光可以看到,Bohr当时的选择无疑是十分明智的,因为原子的稳定性问题所含有的物理内涵极为深刻,即便Bohr再思考一年时间,也是无法得到正确答案的。而至于Bohr的氢原子理论我们下面简单来介绍一下。
首先Bohr有三条假设:
(1)原子只能够稳定存在于与离散能量相对应一系列状态中
(2)原子在两个定态,之间跃迁时,原子吸收或发射出的电磁波是唯一的,即:

(3) 对应原理:在大量子数的极限条件下,量子体系行为将趋向于与经典力学行为相同。
值得注意的是第三条对应原理,这条原理的提出所包含的是物理学最为核心的思想:不同理论之间并不应该是“水火不容”的,不同的理论虽然可能有着完全不同的形式,但是这应该是由于每种理论所适用的范围不同而导致的。譬如在相对论中,膨胀因子当时,相对论场景应该自动退化为牛顿力学场景。同理在量子体系中,应该存在某种极限条件,能够使得量子理论回归到经典理论,而在相同极限条件下,经典理论也应该在相反情况下过渡为量子理论,而这样的一个过渡我们有理由认为如同相对论场景一样应当是平缓而自然的。
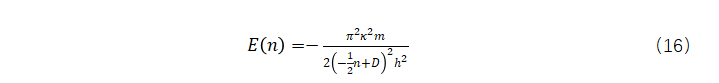
而Bohr认为“这种情况”正是在量子数n非常大时,量子的行为将自动回归为经典的行为,下面我们可以看到,正是这三条假设,使得Bohr成功的推导出了氢原子能级公式:

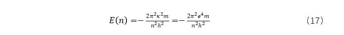
而当Bohr即将度完蜜月时,偶然在友人Hanssen的介绍下得知了氢原子光谱,并加以考虑,于是很快便发现如若将(16)式中的常数D取为0,则上式可以化简为:

然后利用假设(2),,计算光谱线,即可得到Balmer谱系,这是人们第一次从理论上解释了氢原子光谱问题。
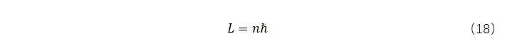
不难证明,根据Bohr的理论,电子的轨道角动量是量子化的,即:

于是在Bohr的文章也被Rutherford承认并且发表,顺利得以毕业。
而后人们自然希望根据Bohr的方法略加改造,从而对更复杂的原子模型进行求解,譬如Sommerfeld等人便将角动量量子化条件改为:

然而很快就发现,如此改造显然行不通,于是Heisenberg等人便引入了矩阵力学,也是正式进入了量子力学的开端。

当前位置: